Продукты должны поставить до конца этого года.
Управление образования Днепровского района Киева готово заплатить 14,1 млн грн за сметану и йогурты. Об этом сказано в сообщении на сайте публичных торгов Prozorro.
По условиям тендерного задания, до конца 2022 года компания-победитель должна поставить:
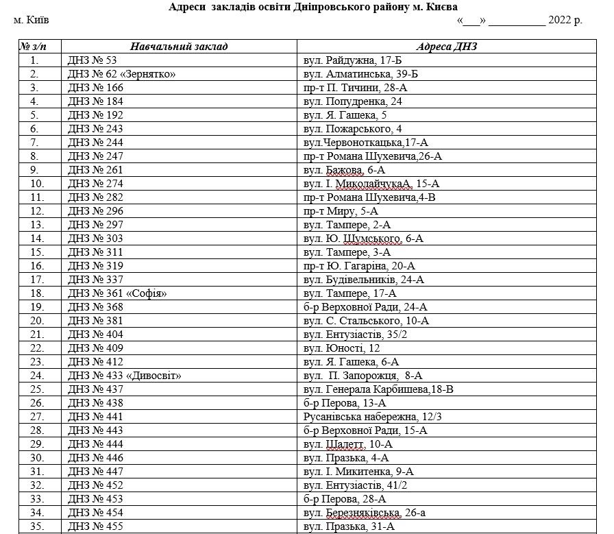
Привезти продукцию нужно в такие садики и школы-интернаты



Заявки на участие в конкурсе подали две компании: «Переяслав-Молпродукт» и «Фірма «Фавор». По результатам аукциона, наиболее выгодным было предложение второго участника. На момент подготовки материала «Фірма «Фавор» ожидала подписания договора на 14,1 млн грн.
По информации аналитической платформы YouControl, «Фірму «Фавор» зарегистрировали в июле 1993 года. Основной вид деятельности - переработка молока и производство сыра.
Директором предприятия зарегистрирована жительница столицы Раиса Михайлова. Она же вместе с Дмитрием Здоренко владеет фирмой. Всего предприятие подписало договоров по итогам торгов на 1 млрд 674 млн грн.
Известно, что Михайлова засветилась в политической жизни столицы. В 2014 году она была кандидатом в нардепы от Святошинского района столицы под знаменами партии экс-вице премьера Сергей Тигипко «Сильна Україна». А в 2015 году шла в Киевсовет от партии экс-мэра Киева Александра Омельченко «Єдність», но проиграла.
Работа предприятия интересовала правоохранителей. В октябре 2019 года столичная Нацполиция открыла против «Фірми «Фавор» уголовное производство. Правоохранители подозревали фирму в краже бюджетных средств на сумму 86 тыс. грн у управления образования Печерского района. Выяснилось, что «Фірма «Фавор» поставляла ей продукты в течении 2017-го – первой половины 2019 годов. Подробности дела следствие не раскрывает.
Также, в марте 2019 года по версии правоохранителей, компания могла быть причастной к краже бюджетных денег при поставки продуктов по заказу управления образования Подольского района столицы. Здесь предприниматели в связке с чиновниками после заключения тендера могли занизить объемы поставки и завысить стоимость продуктов. При этом цена продуктов могла быть выше среднерыночной. Убытки, по подсчетам следствия, составили 170 тыс. грн.
О том, у кого в Киеве купили «молочку» за 2,3 млн грн можно узнать здесь.
Елена Скобцева