В Днепре продолжается работа по уходу за зелеными насаждениями и их текущим ремонтом. Согласно техзаданию к новому тендеру на 66 млн, кроме удаления аварийных деревьев и посадки новых растений планируют также смонтировать систему полива, благоустроить территорию.
20 сентября горсовет Днепра объявил тендер на текущий ремонт зеленых насаждений Днепра.

Аукцион в тендере запланирован на 26 ноября. А поскольку срок окончания работ – 31 декабря 2018 года, победителю придется поторопиться, ведь объем работы немаленький.
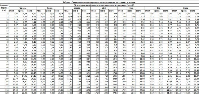
Удалять будут сухостойные, аварийные и фаутные деревья твердых и мягких лиственных пород с диаметром ствола от 20 до 80 см. Количество деревьев, которые подлежат удалению, в тендерной документации не указано, но в объеме это составляет 23 339.65 м3. Существует специальная таблица – сколько фитомассы содержится в спиленном городском дереве (надземная часть) того или иного диаметра и породы.

Мы посчитали, что согласно объемам древесины, указанным в техзадании, по этому тендеру в Днепре удалят более 4 000 деревьев.
Мягколиственных (мы считали по тополю) – 1080 штук, причем наибольшее количество деревьев – 255 штук диаметром ствола от 50 до 60 см.
Твердолиственных (мы считали по вязу) удалят больше – 3292 шт. наибольшее количество – 697 штук диаметром ствола от 30 до 40 см.
Считали так – складывали в указанном промежутке диаметров показатели, находили среднее арифметическое – таким образом получали примерный объем фитомассы одного дерева. Затем указанный в тендерной документации общий объем делили на полученный показатель – получали количество деревьев заданного диаметра ствола. Затем все показатели количества сложили. Еще раз повторимся – подсчет примерный, ведь в тендерной документации не названы породы удаляемых деревьев – только кубатура и вид древесины – твердая/мягкая.
При этом, согласно тендерной документации, планируется утилизировать 26 905 куб. м. или 720 тонн древесины. При таком объеме работ планируется 26544 м\ч работы механизмов и автотранспорта.
Планируется посадить 50 метров однорядной живой изгороди из спиреи Вангутта, посадят 50 штук спиреи «Маленькая принцесса». 60 штук пурпурного барбариса Тунберга, 15 штук кизильника горизонтального, 5 штук тамарикса, 513 можжевельников разных сортов, 2 штуки туи Смарагд, 100 штук рябины (2-3 метра). 100 штук кленов (2-3 метра), 100 штук липы (2-3 метра). 9 штук плакучего вяза (1,7-2 метра), 5 штук голубых елей (3-5 метров), 100 штук катальпы (3-3,5 метра), 100 штук лип (4-5 метров), 100 штук остролистных кленов (4-5 метров).
Кроме того, обустроят цветники, дорожки, площадки и подготовят землю под газоны.

Согласно техзаданию к этому тендеру смонтируют систему автоматического полива с фильтрами грубой и тонкой очистки и разбрызгивателями – общая протяженность труб – более 8 км.
Где территориально проведут эти работы – в тендерной документации не указано.
Марина Деобальд