Украинцы привыкли к карантину, но полиция не перестала штрафовать за несоблюдение правил.
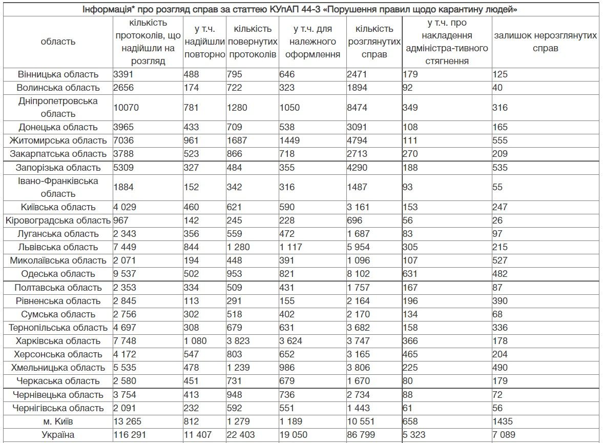
По данным на 27 июля в Украине направили в суд 116 тыс. 291 протокол о нарушении карантина. Об этом сообщила пресс-служба Государственной судебной администрации Украины.
Из этого количества решение о назначении штрафов приняли в 5 тыс. 323 случаях. В полицию вернули 22 тыс. 403 протокола, в том числе для правильного оформления - 19 тыс. 050 протоколов.

По количеству зафиксированных нарушений на первом месте Киев - 13 тыс. 265 протоколов, на втором Днепропетровская область – 10 тыс. 070 документов, на третьем месте Одесская область - 9 537 протоколов.
При этом, больше всего штрафов наложили в столице – 658 раз. На втором месте Одесская область – 631 штраф, и на третьем месте Херсонская область – 465 решений о штрафах.
О том, почему украинцев отказываются штрафовать за нарушение карантина, можно прочитать тут.
Елена Скобцева