Государственная служба статистики опубликовала данные о средней зарплате за декабрь по стране и в регионах, а также по сфере занятости.
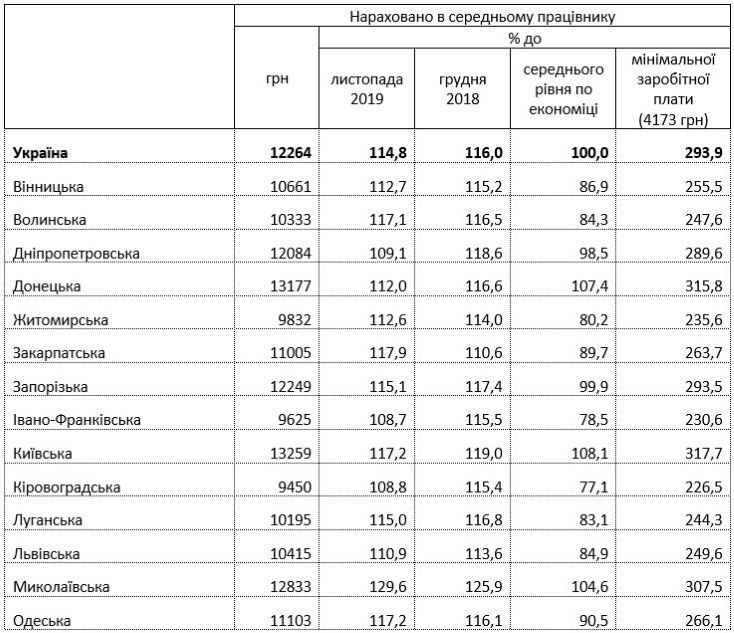
Средняя номинальная заработная плата штатного работника в декабре 2019 года составила 12 тыс. 264 грн, что в 2,9 раза выше уровня минимальной заработной платы (4 тыс. 173 грн).
По сравнению с ноябрем размер средней номинальной заработной платы увеличился на 14,8%, а за последние 12 месяцев (относительно декабря 2018 года) – на 16%.
Наибольшая номинальная зарплата за прошлый месяц была у работников в сфере финансовой и страховой деятельности – в среднем 22 тыс. 198 грн (на 22,7% больше, чем за декабрь 2018го). На втором месте по этому показателю – сфера государственного управления и обороны, обязательного социального страхования (20 тыс. 360 грн, на 18,4% больше за год), на третьем – отрасль информации и телекоммуникаций (19 тыс. 634 грн, на 26,5% больше).

Наименьшие средние номинальные зарплаты за декабрь 2019 были в сферах временного размещения и организации питания (7 тыс. 280 грн, на 7% больше, чем за декабрь 2018), здравоохранения и предоставления социальной помощи (8 505 грн, рост на 15,9%), сельском, лесном и рыбном хозяйстве (9 412 грн, на 14,7% больше, чем годом ранее).
Самая высокая средняя заработная плата традиционно в Киеве – 18 тыс. 869 грн. В Днепропетровской области (6 место по Украине) средняя зарплата в декабре была на уровне 12 тыс. 84 грн, что даже ниже, чем средняя по стране. Хотя за месяц (с ноября) зарплата в области выросла на 9,1%.
Лучше показатели у Киевской (13 тыс. 259 грн), Донецкой (13 тыс. 177 грн), Николаевской (12 тыс. 833 грн), Запорожской (12 тыс. 249 грн) областях.


Хуже всего платят в Черниговской (8 тыс. 851 грн), Кировоградской (9 тыс. 450 грн), Черновицкой (9 тыс. 608 грн) областях.
Ранее мы писали о том, какое место в Украине занимает Днепропетровская область по уровню безработицы, богатству региона, миграции, смертности и продвижении децентрализации по сравнению с другими областями и Киевом.
Дмитрий Чернышев