Школы, кроме финансов из бюджета, имеют дополнительные источники получения дохода. Это может быть сдача в аренду помещений, обучающие курсы, благотворительные взносы, гранты и многое другое. И родители перед тем как отдавать свои кровно заработанные, должны знать, об этих источниках. Кто и сколько собрал, заработал денег – читайте в материале «Деньги.Информатор».
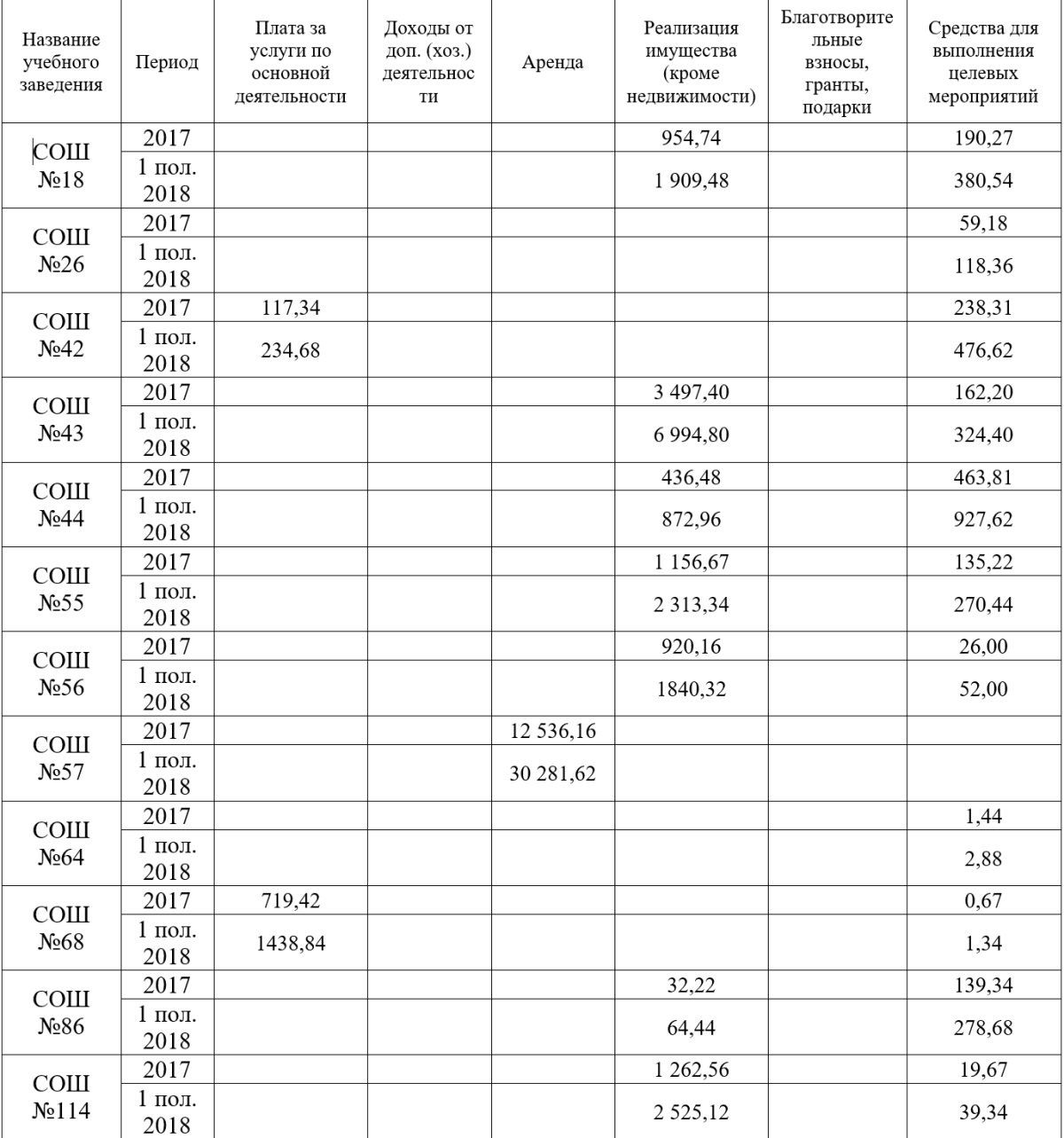
Информация получена из ответа департамента гуманитарной политики Днепровского городского совета на наш запрос. Стоит сказать, что некоторые средние общеобразовательные учреждения заметно увеличили официальный доход за первое полугодие 2018 года в сравнении с прошлым годом.
Среди лидеров по объему полученных средств оказались 148я школа, Лицей информационных технологий при ДНУ им. О. Гончара, 100й лицей, Учебно-воспитательный комплекс №144, Вальдорфская школа, 28я гимназия.
Суммы по каждому учебному заведению можно узнать в таблице: (примечание – как нам объяснили специалисты департамента гуманитарной политики, платой за услуги по основной деятельности является доход школы от оказания дополнительных образовательных услуг, курсов и т.д.).



















О том сколько школы Киева зарабатывают на аренде помещений, можно прочитать здесь.
Дмитрий Чернышев