Все магазины, автомойки и кафешки Днепра нанесут на карту

Все магазины, автомойки и кафешки Днепра нанесут на карту

7 декабря на сайте горсовета Днепра появился проект решения о создании электронного реестра кафе, столовых, ресторанов, магазинов и предприятий сферы услуг. Для этого создадут электронную карту, на которой все днепровские предприятия смогут отметиться, а горожане и гости города смогут найти их по QR-коду.

Согласно проекту решения, управление торговли департамента экономики, финансов и городского бюджета Днепровского горсовета предложит всем предпринимателям зарегистрировать свои кафе, парикмахерские и магазины в электронной системе. Тем, кто не захочет регистрироваться, ничего не будет.  Просто их предприятий не будет на карте. «Это никакая не разрешительная система и платить за такую регистрацию не нужно, - сказал заместитель городского головы Днепра, директор департамента экономики, финансов и городского бюджета Владимир Миллер. – Такая регистрация не будет давать какие-то права или к чему-то обязывать».

Все магазины, автомойки и кафешки Днепра нанесут на карту 1

Проект решения можно посмотреть здесь.

В горсовете сообщили, что карту с ларьками доработают и отметят на ней заведения общепита и автомойки. «Планируется, что мы будем выдавать заведениям QR-коды, по которым их смогут найти с помощью смартфонов горожане и гости города», - сказал Владимир Миллер.

На ближайшей сессии этот вопрос рассматриваться не будет. К нему планируют вернуться в первом квартале 2017 года, и по всем вопросам регистрации можно будет обращаться в Центр предоставления административных услуг Днепропетровского горсовета. «Этим проектом будет заниматься КП «Управление по организации контроля в сфере благоустройства и размещения наружной рекламы» горсовета Днепра», - сказал заместитель городского головы Днепра.

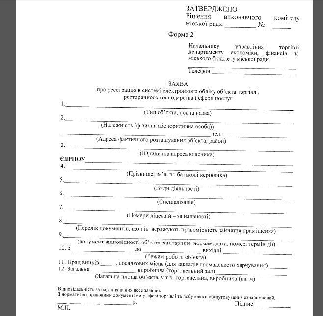
Регистрация в реестре буде проводиться на основании заявления предпринимателей.  Как выглядит заявление можно посмотреть здесь.

Все магазины, автомойки и кафешки Днепра нанесут на карту 2

Все данные, которые предприниматели укажут при регистрации - проверят. После этого, предприниматели получат свидетельство о регистрации в системе. Такой документ будет выглядеть так.

Все магазины, автомойки и кафешки Днепра нанесут на карту 3

О том, как будет проходить регистрация и создание реестра, мы обязательно расскажем.

Ирина Логуш

Головна Актуально Україна на часі Youtube
Інформатор у
телефоні 👉
Завантажити